Object:
COMET HALE-BOPP
GIS2
GIS3
SIS0
SIS1
IMAGE
REGION
LIGHT CURVE
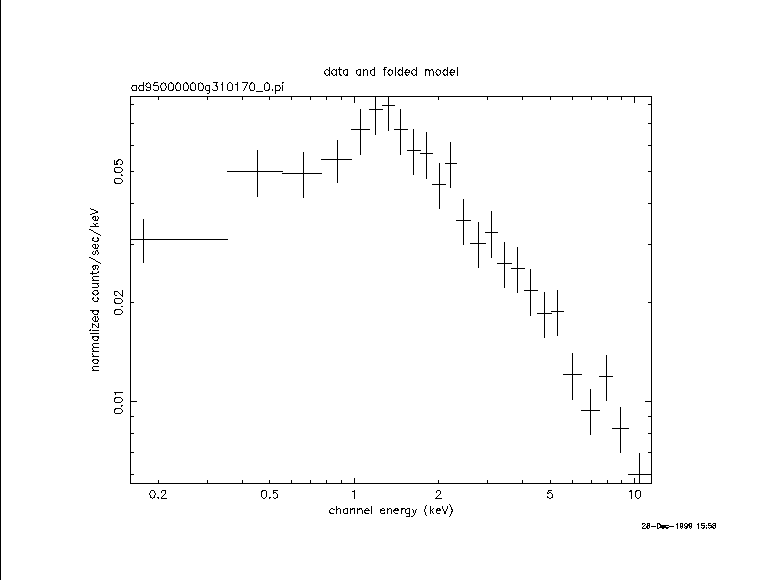
SPECTRA
LOG FILE
Processing Log Index.
Errors in Processing
SOURCE INFORMATION
Source List
Header Page
FILE INFORMATION
File List
Event File Infomation
Notice
These files are processed in NASA/GSFC.
Spectra and light curve are extracted from the region appeared in the region files.