ASCA Quick Look


Object: CENT
GIS2 GIS3 SIS0 SIS1
IMAGE GIS Image SIS Image
REGION GIS Region SIS Region
LIGHT CURVE g2 Light Curve g3 Light Curve s0 Light Curve s1 Light Curve
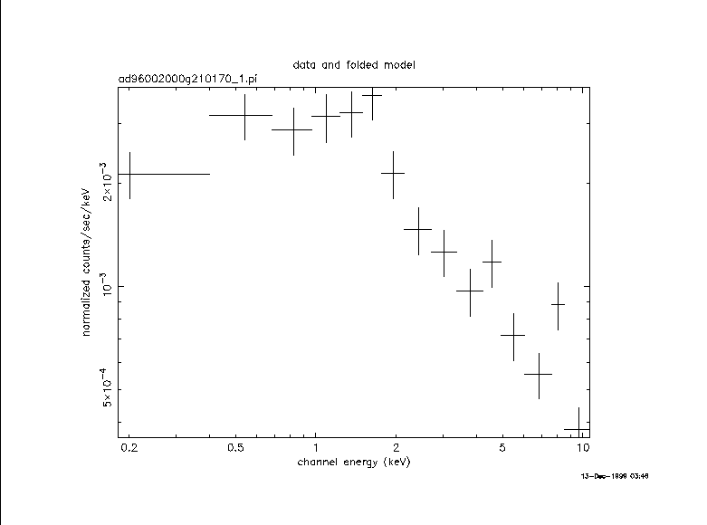
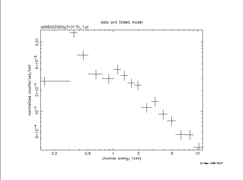
SPECTRA g2 Spectrum g3 Spectrum s0 Spectrum s1 Spectrum

LOG FILE

SOURCE INFORMATION

FILE INFORMATION

Notice