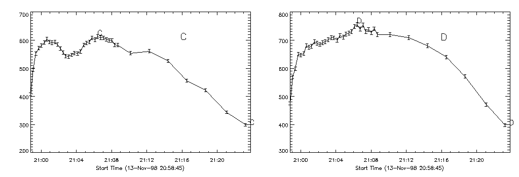
SXT light curves from 13-Nov-98




Nov. 14, 1998: D.E. McKenzie (email mckenzie@isass0.solar.isas.ac.jp)